Официальное опубликование правовых актов
ОФИЦИАЛЬНОЕ ОПУБЛИКОВАНИЕ
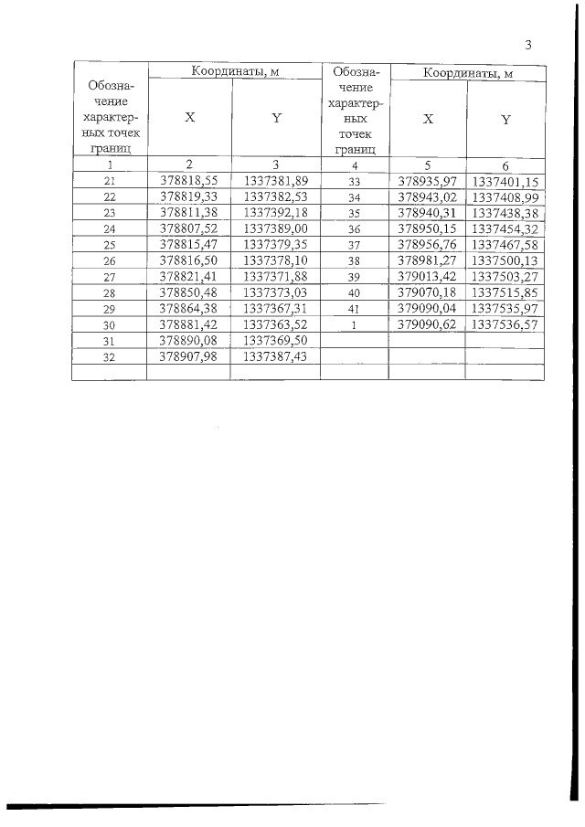
Постановление Правительства Республики Мордовия от 03.02.2020 № 81
"Об утверждении границы охранной зоны газораспределительной сети"
Номер опубликования: 1300202002070001
Дата опубликования: 07.02.2020
Страница №4 из 4:
Увеличить