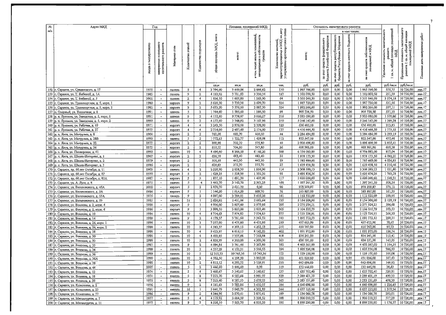
Постановление Правительства Республики Мордовия от 11.11.2019 № 440
"О внесении изменения в краткосрочный план реализации на 2017-2019 годы Республиканской адресной программы "Проведение капитального ремонта общего имущества в многоквартирных домах, расположенных на территории Республики Мордовия" на 2014-2043 годы"
"О внесении изменения в краткосрочный план реализации на 2017-2019 годы Республиканской адресной программы "Проведение капитального ремонта общего имущества в многоквартирных домах, расположенных на территории Республики Мордовия" на 2014-2043 годы"
Номер опубликования: 1300201911180009
Дата опубликования:
18.11.2019
