Официальное опубликование правовых актов
ОФИЦИАЛЬНОЕ ОПУБЛИКОВАНИЕ
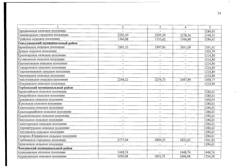
Постановление Правительства Республики Мордовия от 14.08.2019 № 341
"О внесении изменений в приложение 1 - 3 к постановлению Правительства Республики Мордовия от 6 марта 2019 г. № 114"
Номер опубликования: 1300201908150001
Дата опубликования: 15.08.2019
Страница №24 из 37:
Увеличить