Официальное опубликование правовых актов
ОФИЦИАЛЬНОЕ ОПУБЛИКОВАНИЕ
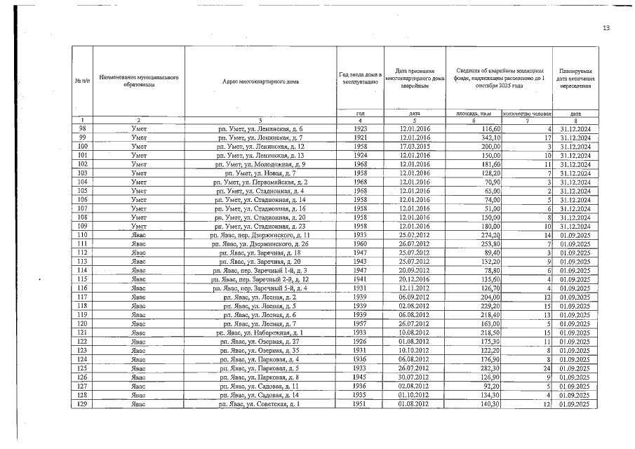
Постановление Правительства Республики Мордовия от 07.06.2019 № 260
"О внесении изменений в постановление Правительства Республики Мордовия от 6 февраля 2019 г. № 53"
Номер опубликования: 1300201906140005
Дата опубликования: 14.06.2019
Страница №13 из 33:
Увеличить