Официальное опубликование правовых актов
ОФИЦИАЛЬНОЕ ОПУБЛИКОВАНИЕ
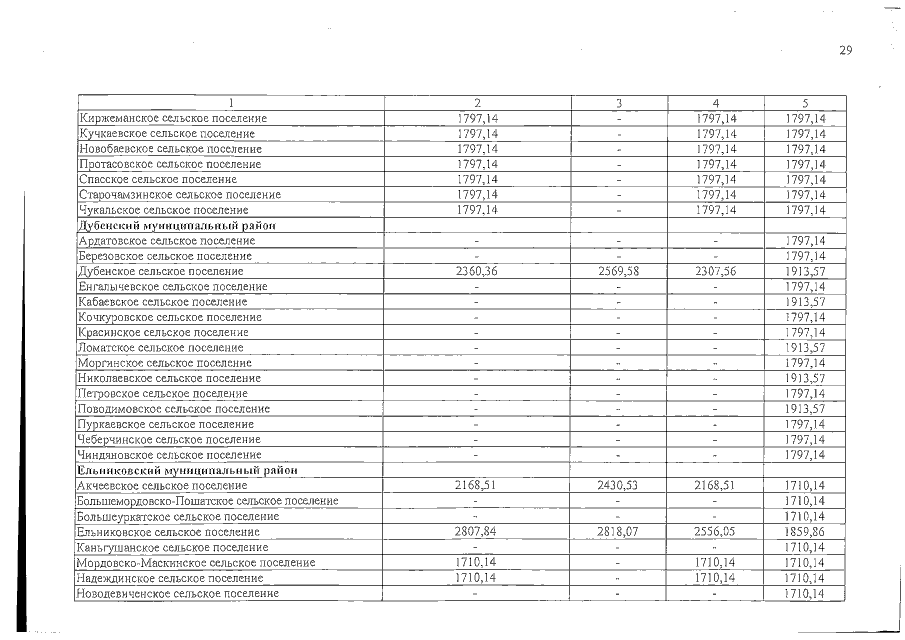
Постановление Правительства Республики Мордовия от 29.04.2019 № 225
"О внесении изменений в приложения 1 – 3 к постановлению Правительства Республики Мордовия от 6 марта 2019 г. № 114"
Номер опубликования: 1300201905070006
Дата опубликования: 07.05.2019
Страница №29 из 37:
Увеличить