Официальное опубликование правовых актов
ОФИЦИАЛЬНОЕ ОПУБЛИКОВАНИЕ
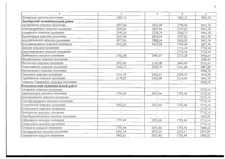
Постановление Правительства Республики Мордовия от 06.03.2019 № 114
"О региональных стандартах стоимости жилищно-коммунальных услуг на 2019 год, используемых для расчета субсидий"
Номер опубликования: 1300201903070005
Дата опубликования: 07.03.2019
Страница №35 из 38:
Увеличить