Официальное опубликование правовых актов
ОФИЦИАЛЬНОЕ ОПУБЛИКОВАНИЕ
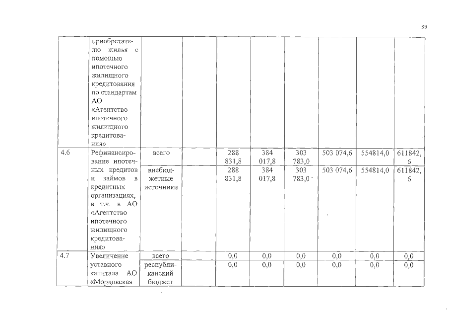
Постановление Правительства Республики Мордовия от 26.12.2018 № 609
"О внесении изменений в государственную программу Республики Мордовия "Развитие жилищного строительства и сферы жилищно-коммунального хозяйства" на 2014 – 2020 годы"
Номер опубликования: 1300201812280003
Дата опубликования: 28.12.2018
Страница №39 из 126:
Увеличить