Официальное опубликование правовых актов
ОФИЦИАЛЬНОЕ ОПУБЛИКОВАНИЕ
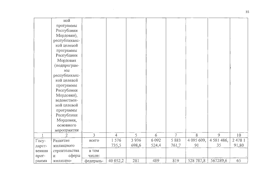
Постановление Правительства Республики Мордовия от 17.12.2018 № 589
"О внесении изменений в государственную программу Республики Мордовия "Развитие жилищного строительства и сферы жилищно-коммунального хозяйства" на 2014 – 2020 годы"
Номер опубликования: 1300201812200007
Дата опубликования: 20.12.2018
Страница №35 из 162:
Увеличить