Официальное опубликование правовых актов
ОФИЦИАЛЬНОЕ ОПУБЛИКОВАНИЕ
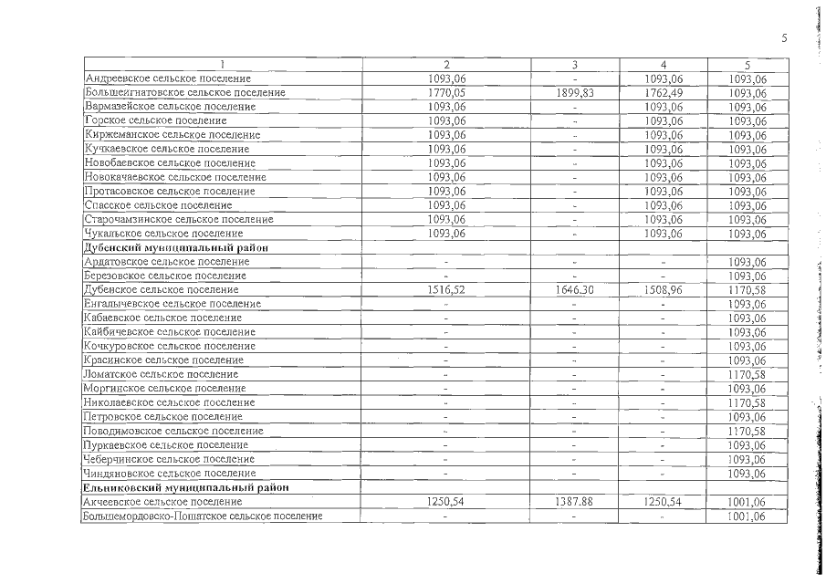
Постановление Правительства Республики Мордовия от 06.11.2018 № 528
"О внесении изменений в приложения 1 – 3 к постановлению Правительства Республики Мордовия от 12 апреля 2018 г. № 225"
Номер опубликования: 1300201811120008
Дата опубликования: 12.11.2018
Страница №5 из 40:
Увеличить