Официальное опубликование правовых актов
ОФИЦИАЛЬНОЕ ОПУБЛИКОВАНИЕ
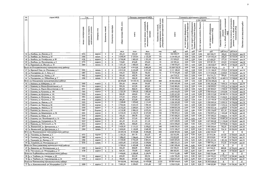
Постановление Правительства Республики Мордовия от 26.04.2018 № 267
"О внесении изменения в краткосрочный план реализации на 2017-2019 годы Республиканской адресной программы "Проведение капитального ремонта общего имущества в многоквартирных домах, расположенных на территории Республики Мордовия" на 2014-2043 годы"
Номер опубликования: 1300201804280010
Дата опубликования: 28.04.2018
Страница №9 из 37:
Увеличить