Официальное опубликование правовых актов
ОФИЦИАЛЬНОЕ ОПУБЛИКОВАНИЕ
Постановление Правительства Республики Мордовия от 12.01.2018 № 4
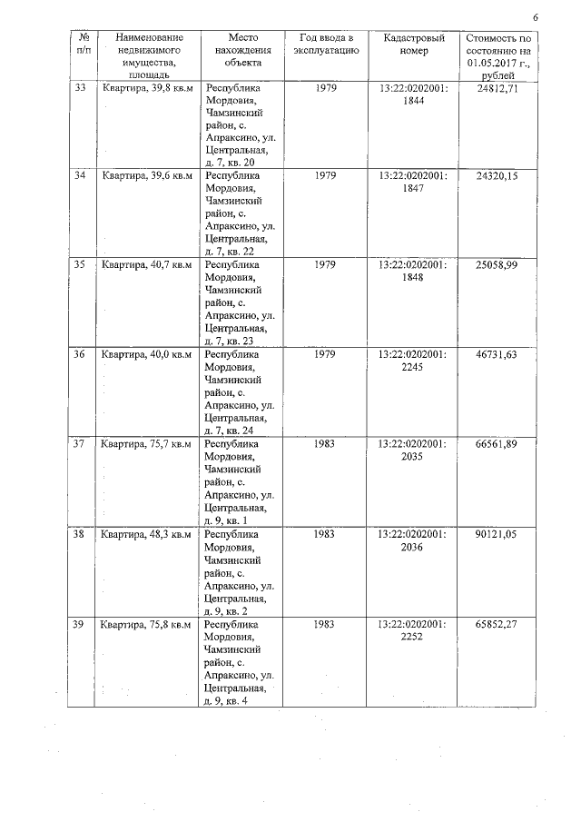
"О разграничении имущества, находящегося в муниципальной собственности Апраксинского, Кульминского и Медаевского сельских поселений Чамзинского муниципального района Республики Мордовия, подлежащего передаче в муниципальную собственность Чамзинского муниципального района Республики Мордовия"
Номер опубликования: 1300201801150002
Дата опубликования: 15.01.2018
Страница №8 из 15:
Увеличить