Официальное опубликование правовых актов
ОФИЦИАЛЬНОЕ ОПУБЛИКОВАНИЕ
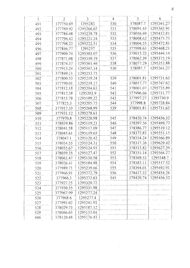
Постановление Правительства Республики Мордовия от 27.12.2017 № 688
"Об утверждении границ охранных зон газораспределительных сетей"
Номер опубликования: 1300201712280003
Дата опубликования: 28.12.2017
Страница №17 из 33:
Увеличить