Официальное опубликование правовых актов
ОФИЦИАЛЬНОЕ ОПУБЛИКОВАНИЕ
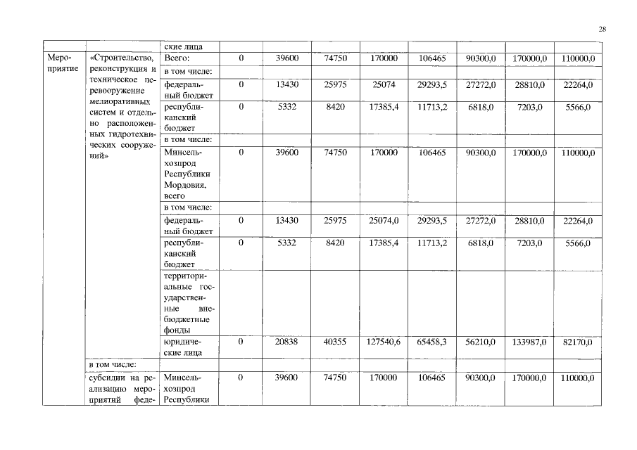
Постановление Правительства Республики Мордовия от 13.12.2017 № 643
"О внесении изменений в Государственную программу Республики Мордовия развития сельского хозяйства и регулирования рынков сельскохозяйственной продукции, сырья и продовольствия на 2013 – 2020 годы"
Номер опубликования: 1300201712150003
Дата опубликования: 15.12.2017
Страница №28 из 33:
Увеличить