Официальное опубликование правовых актов
ОФИЦИАЛЬНОЕ ОПУБЛИКОВАНИЕ
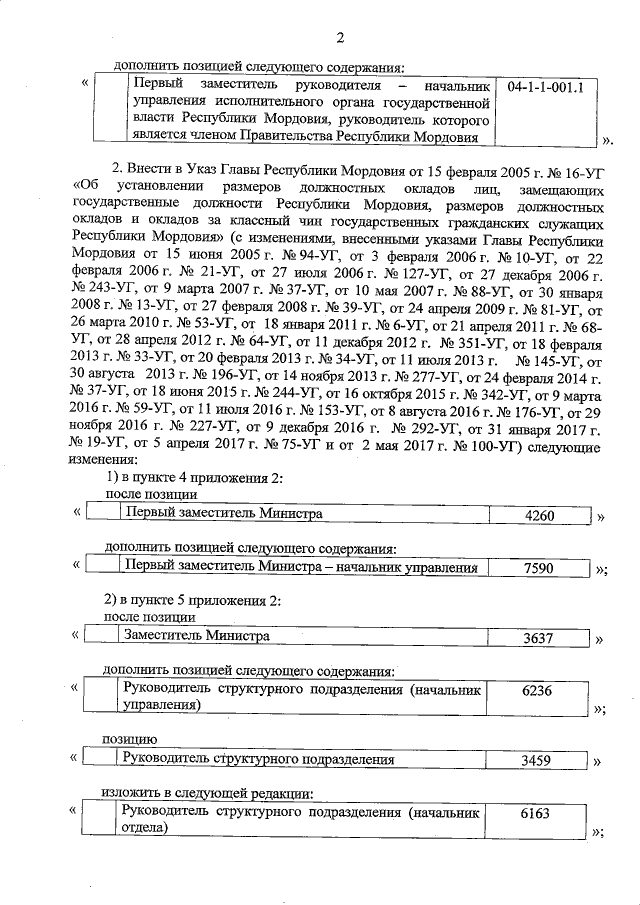
Указ Главы Республики Мордовия от 04.10.2017 № 253-УГ
"О внесении изменений в некоторые указы Главы Республики Мордовия"
Номер опубликования: 1300201710110002
Дата опубликования: 11.10.2017
Страница №2 из 5:
Увеличить