Официальное опубликование правовых актов
ОФИЦИАЛЬНОЕ ОПУБЛИКОВАНИЕ
Постановление Правительства Республики Мордовия от 30.08.2017 № 494
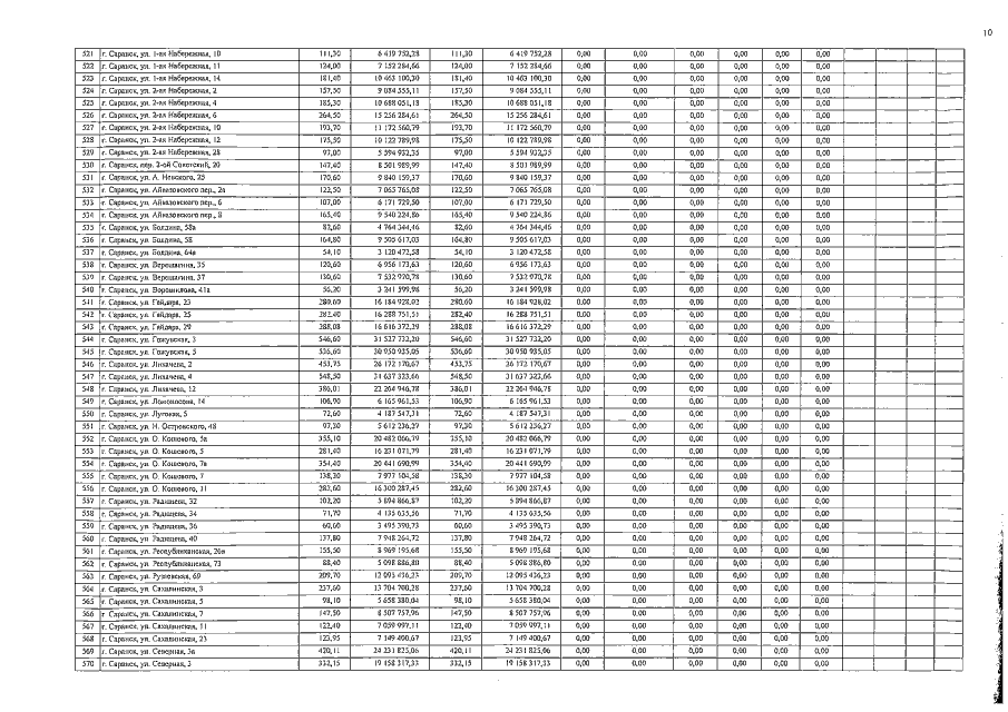
"О внесении изменений в Республиканскую адресную программу "Переселение граждан из аварийного жилищного фонда в Республике Мордовия" на 2013 – 2017 годы"
Номер опубликования: 1300201709080005
Дата опубликования: 08.09.2017
Страница №10 из 11:
Увеличить