Постановление Правительства Республики Мордовия от 20.07.2017 № 418
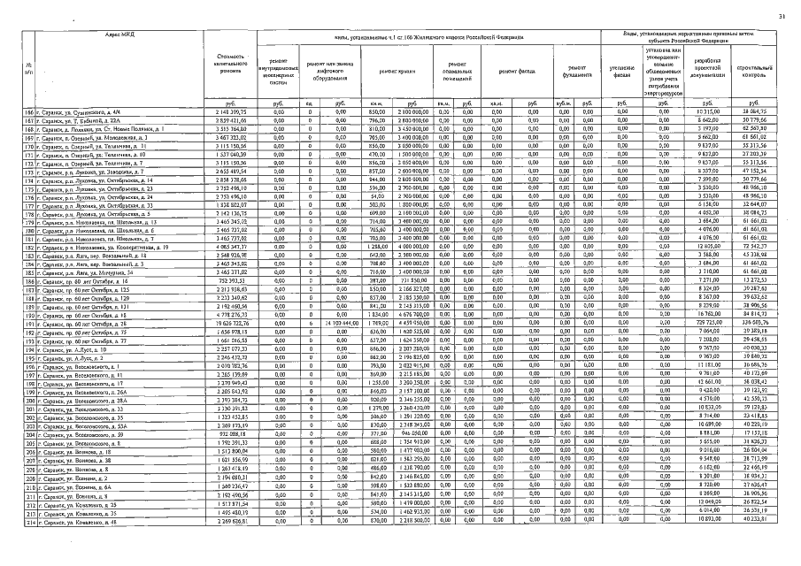
"Об утверждении краткосрочного плана реализации на 2017-2019 годы Республиканской адресной программы "Проведение капитального ремонта общего имущества в многоквартирных домах, расположенных на территории Республики Мордовия" на 2014-2043 годы и признании утратившим силу постановления Правительства Республики Мордовия от 10 октября 2016 года № 514"
"Об утверждении краткосрочного плана реализации на 2017-2019 годы Республиканской адресной программы "Проведение капитального ремонта общего имущества в многоквартирных домах, расположенных на территории Республики Мордовия" на 2014-2043 годы и признании утратившим силу постановления Правительства Республики Мордовия от 10 октября 2016 года № 514"
Номер опубликования: 1300201707260002
Дата опубликования:
26.07.2017
