Официальное опубликование правовых актов
ОФИЦИАЛЬНОЕ ОПУБЛИКОВАНИЕ
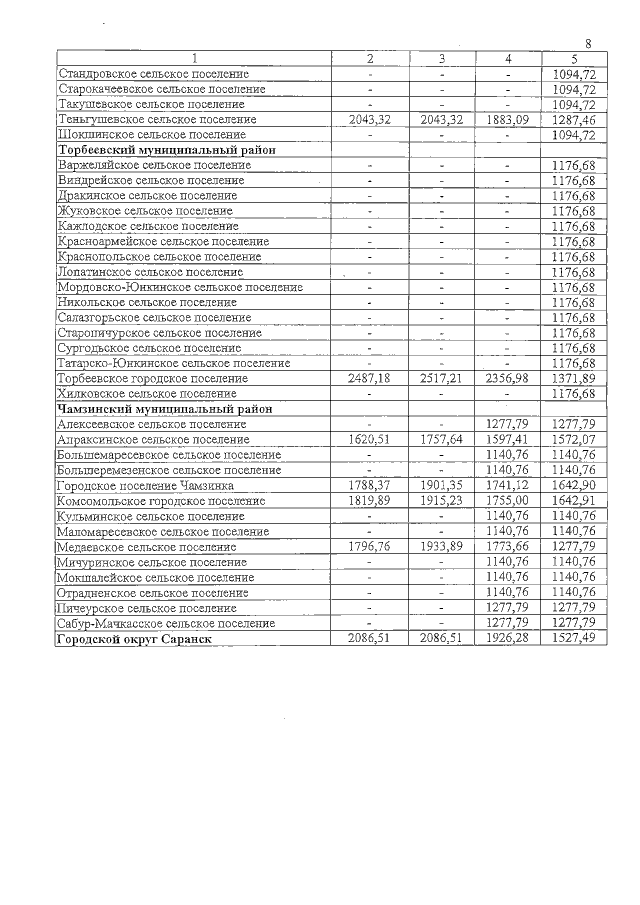
Постановление Правительства Республики Мордовия от 20.03.2017 № 199
"О региональных стандартах стоимости жилищно-коммунальных услуг на 2017 год, используемых для расчета субсидий"
Номер опубликования: 1300201703230012
Дата опубликования: 23.03.2017
Страница №17 из 25:
Увеличить