Официальное опубликование правовых актов
ОФИЦИАЛЬНОЕ ОПУБЛИКОВАНИЕ
Постановление Правительства Республики Мордовия от 10.10.2016 № 514
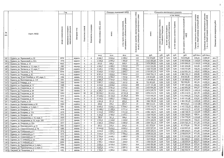
"Об утверждении плана реализации на 2017 год Республиканской адресной программы "Проведение капитального ремонта общего имущества в многоквартирных домах, расположенных на территории Республики Мордовия" на 2014-2043 годы"
Номер опубликования: 1300201610190005
Дата опубликования: 19.10.2016
Страница №6 из 13:
Увеличить