Официальное опубликование правовых актов
ОФИЦИАЛЬНОЕ ОПУБЛИКОВАНИЕ
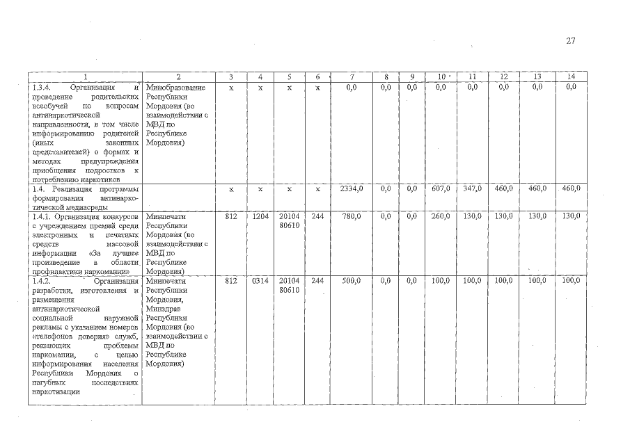
Постановление Правительства Республики Мордовия от 05.09.2016 № 457
"О внесении изменений в приложения 2-3 к государственной программе Республики Мордовия "Противодействие злоупотреблению наркотиками и их незаконному обороту" на 2014-2020 годы"
Номер опубликования: 1300201609090002
Дата опубликования: 09.09.2016
Страница №27 из 36:
Увеличить