Официальное опубликование правовых актов
ОФИЦИАЛЬНОЕ ОПУБЛИКОВАНИЕ
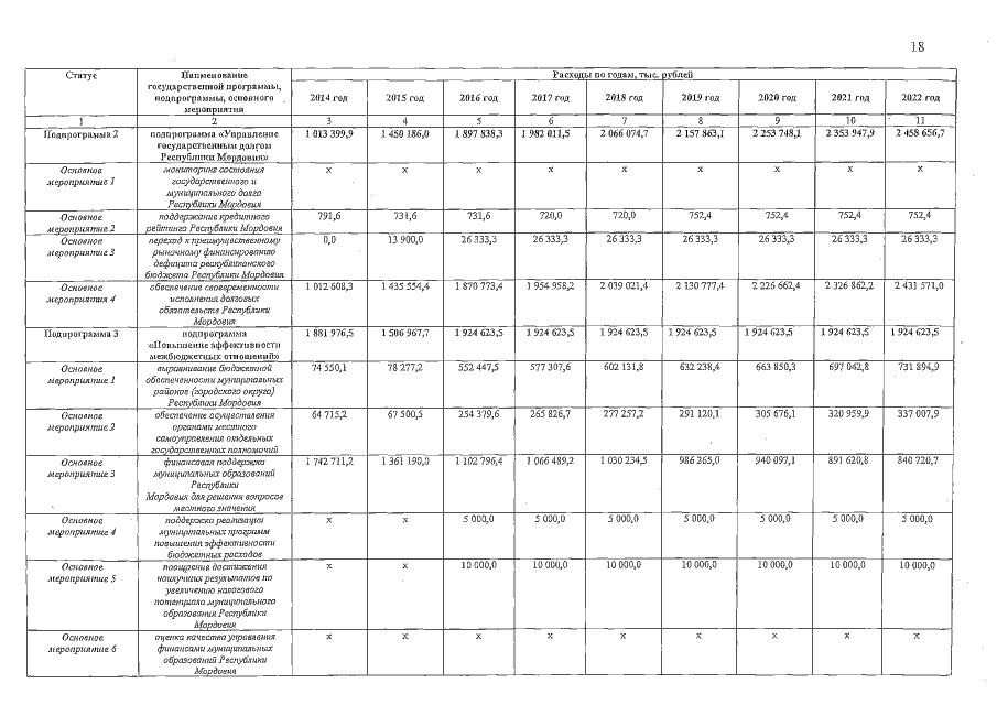
Постановление Правительства Республики Мордовия от 22.08.2016 № 433
"О внесении изменений в некоторые постановления Правительства Республики Мордовия"
Номер опубликования: 1300201608240010
Дата опубликования: 24.08.2016
Страница №18 из 26:
Увеличить