Официальное опубликование правовых актов
ОФИЦИАЛЬНОЕ ОПУБЛИКОВАНИЕ
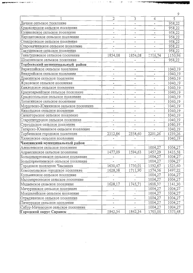
Постановление Правительства Республики Мордовия от 08.08.2016 № 413
"О внесении изменений в приложения 1-3 к постановлению Правительства Республики Мордовия от 22 марта 2016 г. № 140"
Номер опубликования: 1300201608110003
Дата опубликования: 11.08.2016
Страница №9 из 25:
Увеличить