Официальное опубликование правовых актов
ОФИЦИАЛЬНОЕ ОПУБЛИКОВАНИЕ
Постановление Правительства Республики Мордовия от 25.07.2016 № 381
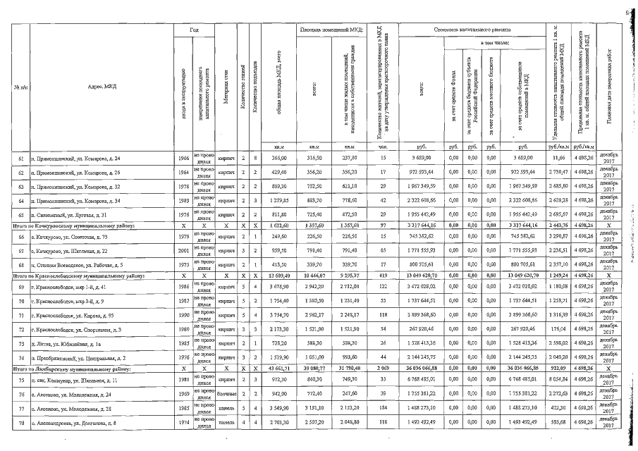
"О внесении изменений в план реализации на 2016 год Республиканской адресной программы "Проведение капитального ремонта общего имущества в многоквартирных домах, расположенных на территории Республики Мордовия" на 2014-2043 годы"
Номер опубликования: 1300201608030010
Дата опубликования: 03.08.2016
Страница №6 из 36:
Увеличить