Официальное опубликование правовых актов
ОФИЦИАЛЬНОЕ ОПУБЛИКОВАНИЕ
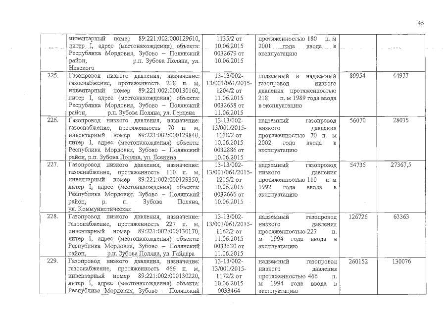
Постановление Правительства Республики Мордовия от 20.06.2016 № 320
"Об изменении условий приватизации имущества государственной казны Республики Мордовия"
Номер опубликования: 1300201606280002
Дата опубликования: 28.06.2016
Страница №47 из 757:
Увеличить