Официальное опубликование правовых актов
ОФИЦИАЛЬНОЕ ОПУБЛИКОВАНИЕ
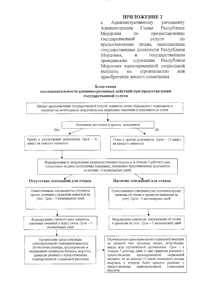
Указ Главы Республики Мордовия от 14.06.2016 № 135-УГ
"Об утверждении административных регламентов Администрации Главы Республики Мордовия по предоставлению государственных услуг"
Номер опубликования: 1300201606200004
Дата опубликования: 20.06.2016
Страница №22 из 41:
Увеличить