Официальное опубликование правовых актов
ОФИЦИАЛЬНОЕ ОПУБЛИКОВАНИЕ
Постановление Правительства Республики Мордовия от 16.05.2016 № 245
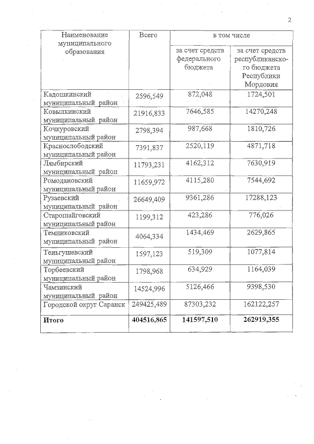
"Об утверждении распределения субсидий бюджетам муниципальных районов и городского округа Саранск в 2016 году на реализацию подпрограммы "Обеспечение жильем молодых семей" федеральной целевой программы "Жилище" на 2015-2020 годы и Республиканской целевой программы "Жилище" на 2015-2020 годы по Соглашению от 18 апреля 2016 г. № 05-225/С между Министерством строительства и жилищно-коммунального хозяйства Российской Федерации и Республикой Мордовия"
Номер опубликования: 1300201605180016
Дата опубликования: 18.05.2016
Страница №3 из 3:
Увеличить