Официальное опубликование правовых актов
ОФИЦИАЛЬНОЕ ОПУБЛИКОВАНИЕ
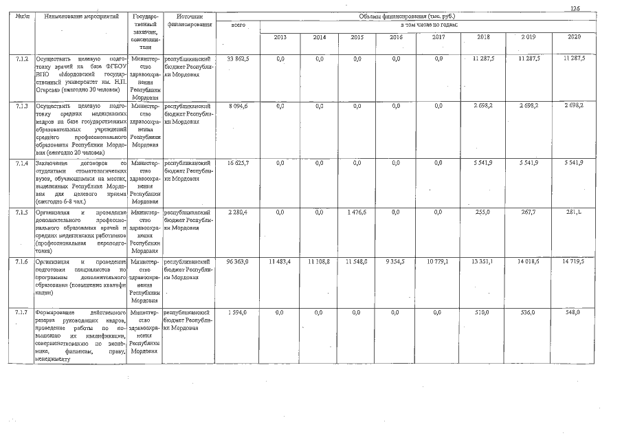
Постановление Правительства Республики Мордовия от 15.02.2016 № 75
"О внесении изменений в государственную программу развития здравоохранения Республики Мордовия на 2013-2020 годы"
Номер опубликования: 1300201602190010
Дата опубликования: 19.02.2016
Страница №126 из 137:
Увеличить