Официальное опубликование правовых актов
ОФИЦИАЛЬНОЕ ОПУБЛИКОВАНИЕ
Постановление Правительства Республики Мордовия от 11.02.2016 № 63
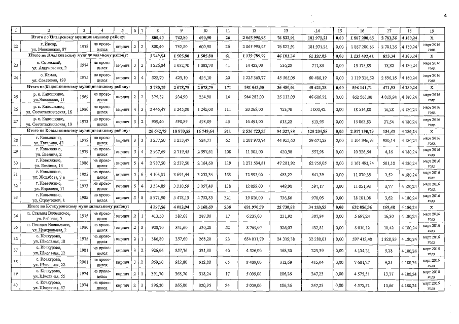
"О внесении изменений в план реализации на 2015 год Республиканской адресной программы "Проведение капитального ремонта общего имущества в многоквартирных домах, расположенных на территории Республики Мордовия" на 2014-2043 годы"
Номер опубликования: 1300201602160001
Дата опубликования: 16.02.2016
Страница №4 из 23:
Увеличить