Официальное опубликование правовых актов
ОФИЦИАЛЬНОЕ ОПУБЛИКОВАНИЕ
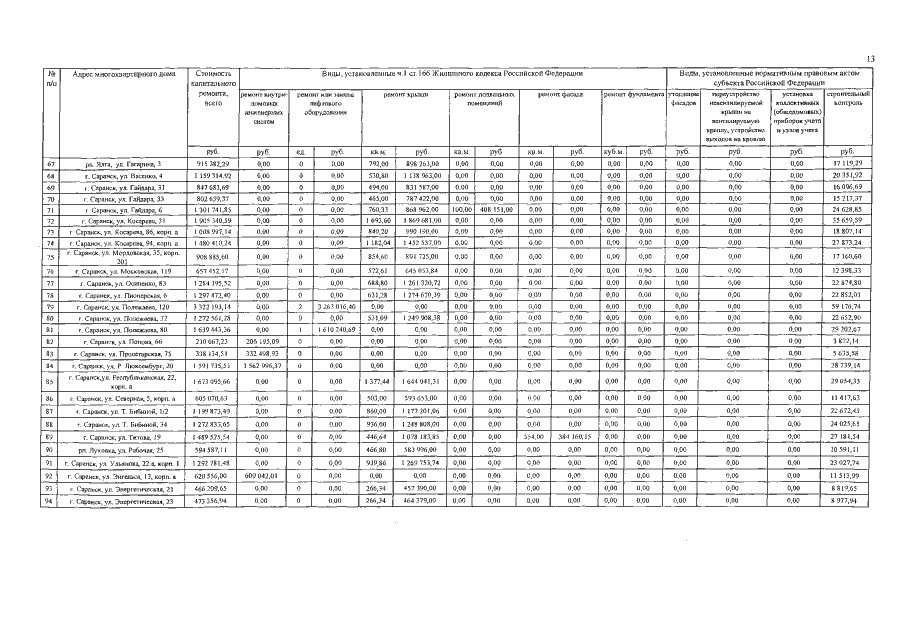
Постановление Правительства Республики Мордовия от 02.12.2015 № 673
"О внесении изменений в план реализации на 2014 год Республиканской адресной программы "Проведение капитального ремонта общего имущества в многоквартирных домах, расположенных на территории Республики Мордовия" на 2014-2043 годы"
Номер опубликования: 1300201512070006
Дата опубликования: 07.12.2015
Страница №13 из 15:
Увеличить