Официальное опубликование правовых актов
ОФИЦИАЛЬНОЕ ОПУБЛИКОВАНИЕ
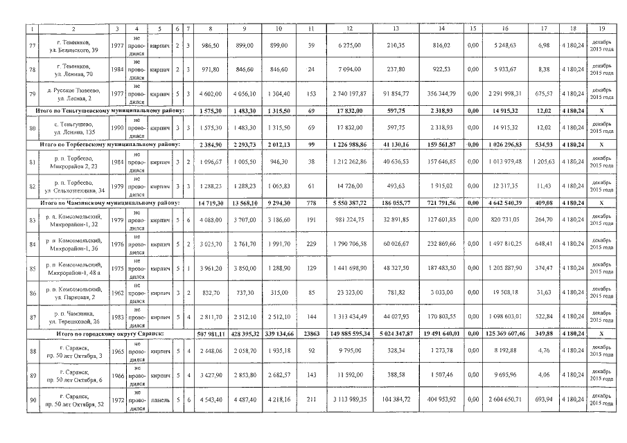
Постановление Правительства Республики Мордовия от 02.12.2015 № 674
"О внесении изменений в пункт 1 плана реализации на 2015 год Республиканской адресной программы "Проведение капитального ремонта общего имущества в многоквартирных домах, расположенных на территории Республики Мордовия" на 2014-2043 годы"
Номер опубликования: 1300201512070004
Дата опубликования: 07.12.2015
Страница №8 из 17:
Увеличить