Официальное опубликование правовых актов
ОФИЦИАЛЬНОЕ ОПУБЛИКОВАНИЕ
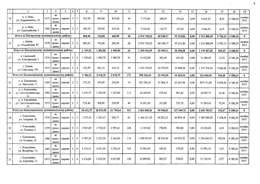
Постановление Правительства Республики Мордовия от 06.11.2015 № 625
"О внесении изменений в пункт 1 плана реализации на 2015 год Республиканской адресной программы "Проведение капитального ремонта общего имущества в многоквартирных домах, расположенных на территории Республики Мордовия" на 2014-2043 годы"
Номер опубликования: 1300201511120006
Дата опубликования: 12.11.2015
Страница №4 из 18:
Увеличить