Официальное опубликование правовых актов
ОФИЦИАЛЬНОЕ ОПУБЛИКОВАНИЕ
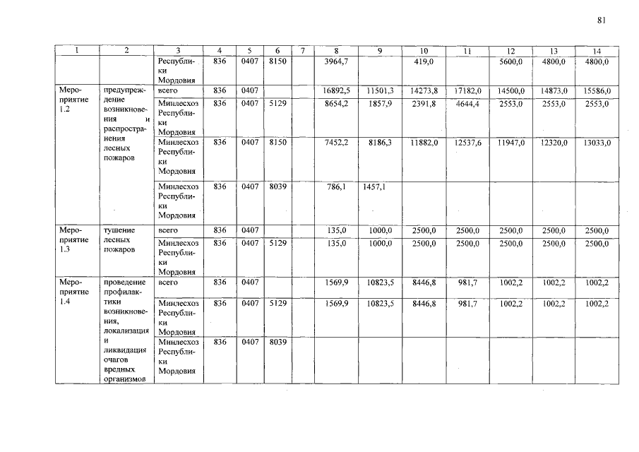
Постановление Правительства Республики Мордовия от 08.06.2015 № 331
"О внесении изменений в государственную программу "Развитие лесного хозяйства и лесоперерабатывающего комплекса Республики Мордовия" на 2014-2020 годы"
Номер опубликования: 1300201506150020
Дата опубликования: 15.06.2015
Страница №81 из 105:
Увеличить