Официальное опубликование правовых актов
ОФИЦИАЛЬНОЕ ОПУБЛИКОВАНИЕ
Постановление Правительства Республики Мордовия от 21.05.2015 № 279
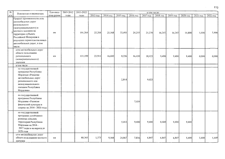
"О внесении изменений в государственную программу Республики Мордовия "Развитие автомобильных дорог регионального или межмуниципального значения Республики Мордовия" на 2014-2016 годы"
Номер опубликования: 1300201505290019
Дата опубликования: 29.05.2015
Страница №110 из 113:
Увеличить