Официальное опубликование правовых актов
ОФИЦИАЛЬНОЕ ОПУБЛИКОВАНИЕ
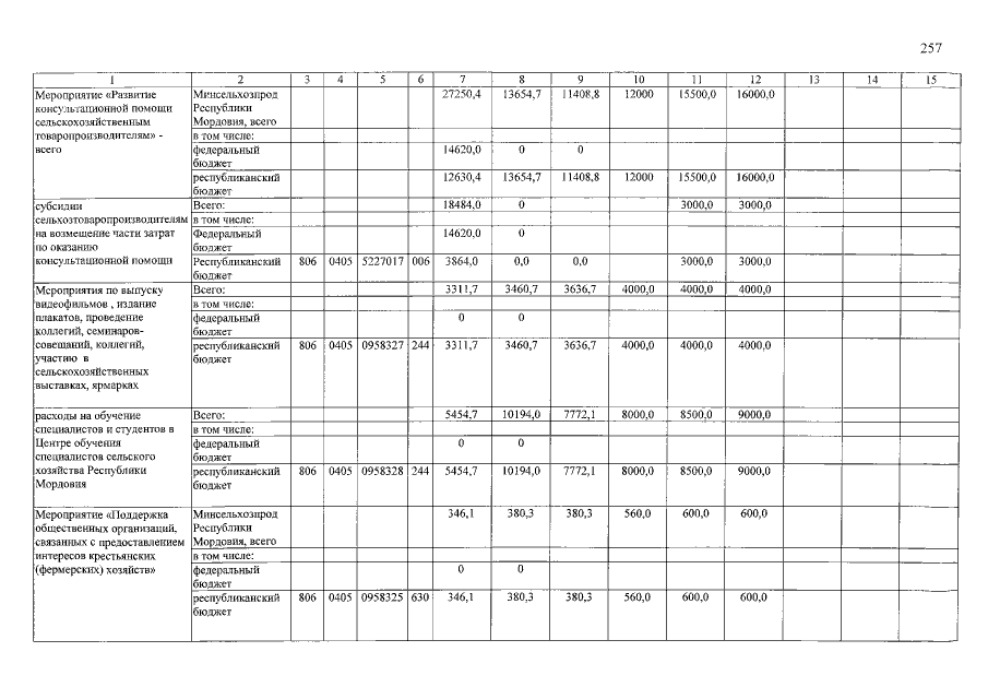
Постановление Правительства Республики Мордовия от 02.02.2015 № 42
"О внесении изменений в Государственную программу Республики Мордовия развития сельского хозяйства и регулирования рынков сельскохозяйственной продукции, сырья и продовольствия на 2013-2020 годы"
Номер опубликования: 1300201502110002
Дата опубликования: 11.02.2015
Страница №257 из 313:
Увеличить