Официальное опубликование правовых актов
ОФИЦИАЛЬНОЕ ОПУБЛИКОВАНИЕ
Постановление Правительства Республики Мордовия от 19.01.2015 № 24
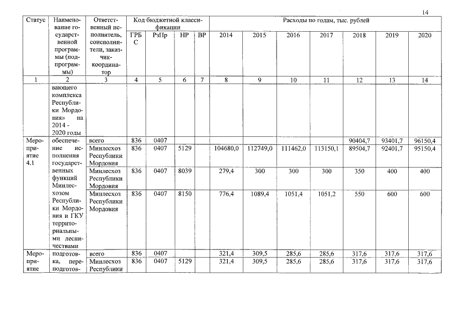
"О внесении изменений в государственную программу "Развитие лесного хозяйства и лесоперерабатывающего комплекса Республики Мордовия" на 2014-2020 годы"
Номер опубликования: 1300201501270002
Дата опубликования: 27.01.2015
Страница №14 из 37:
Увеличить