Официальное опубликование правовых актов
ОФИЦИАЛЬНОЕ ОПУБЛИКОВАНИЕ
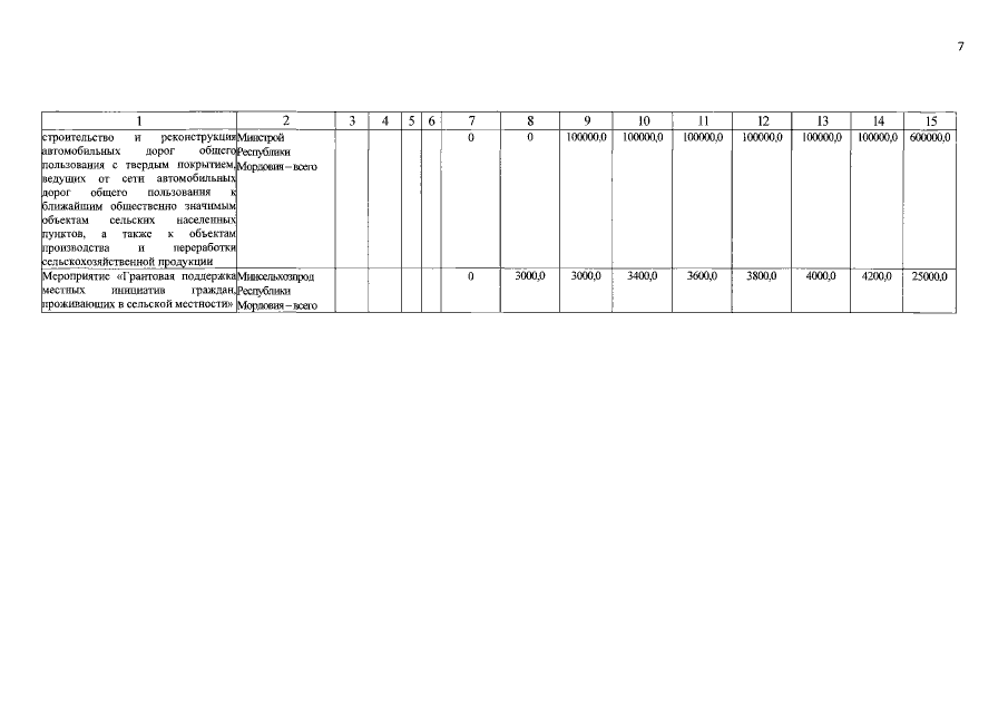
Постановление Правительства Республики Мордовия от 22.12.2014 № 672
"О внесении изменений в Государственную программу устойчивого развития сельских территорий Республики Мордовия на 2014-2017 годы и на период до 2020 года"
Номер опубликования: 1300201412300011
Дата опубликования: 30.12.2014
Страница №7 из 14:
Увеличить