Официальное опубликование правовых актов
ОФИЦИАЛЬНОЕ ОПУБЛИКОВАНИЕ
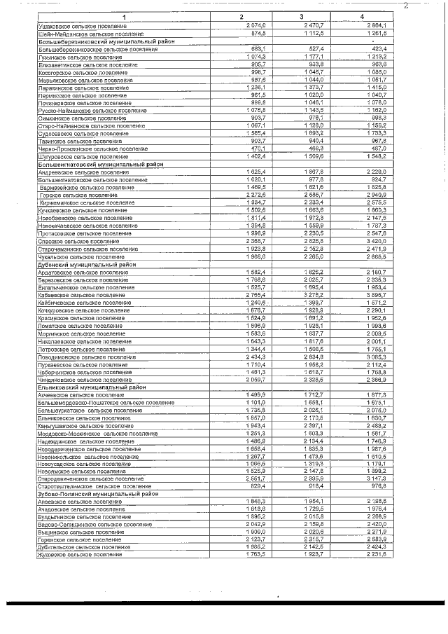
Закон Республики Мордовия от 19.12.2014 № 99-З
"О республиканском бюджете Республики Мордовия на 2015 год и на плановый период 2016 и 2017 годов"
Номер опубликования: 1300201412250017
Дата опубликования: 25.12.2014
Страница №413 из 467:
Увеличить