Официальное опубликование правовых актов
ОФИЦИАЛЬНОЕ ОПУБЛИКОВАНИЕ
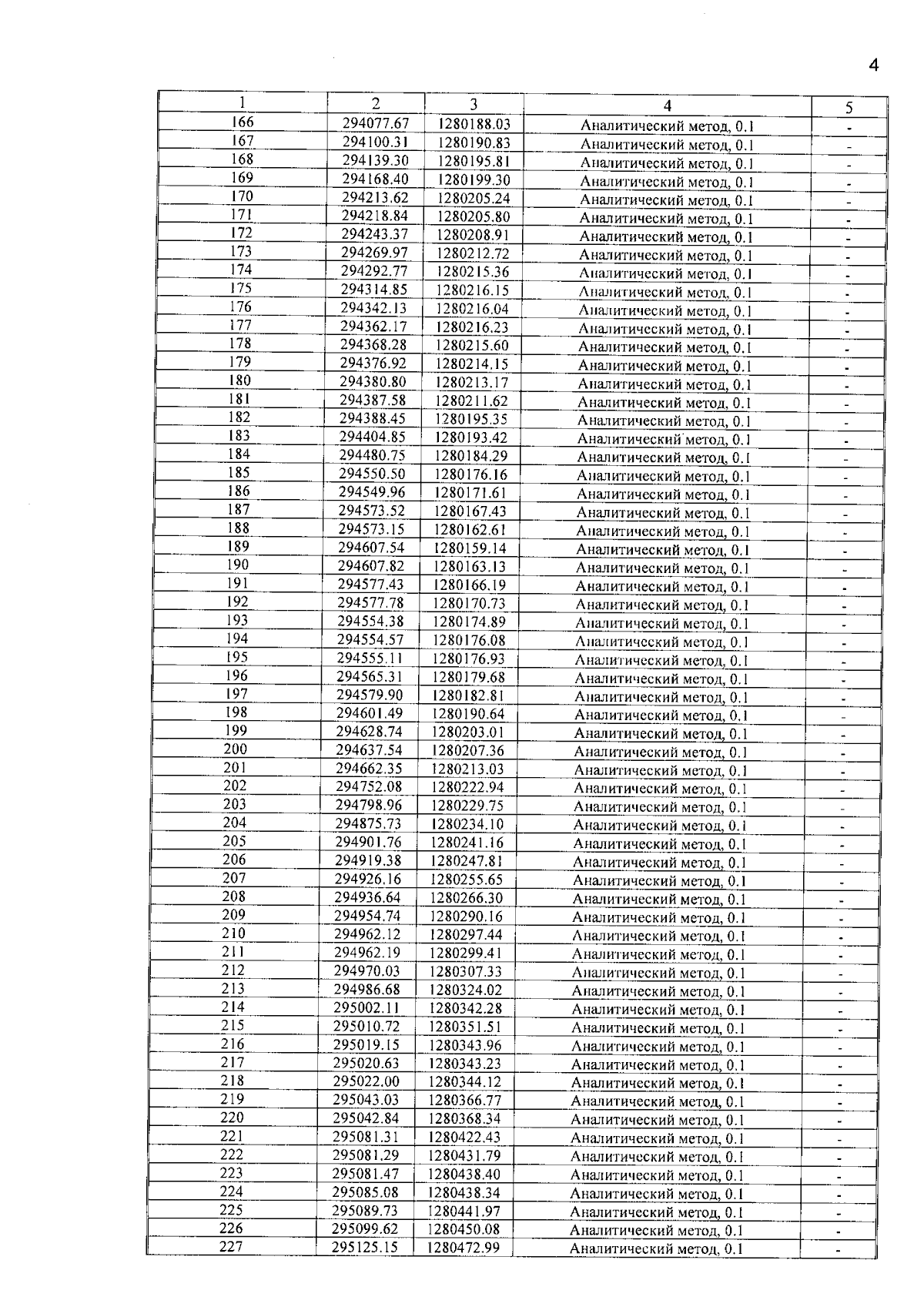
Приказ Министерства строительства, архитектуры и жилищно-коммунального хозяйства Республики Марий Эл от 21.10.2025 № 469
"Об утверждении границ охранных зон газораспределительных сетей и наложении ограничений (обременений) на входящие в них земельные участки"
(Зарегистрирован 27.10.2025 № 120920250055)
Номер опубликования: 1201202510270003
Дата опубликования: 27.10.2025
Страница №12 из 13:
Увеличить