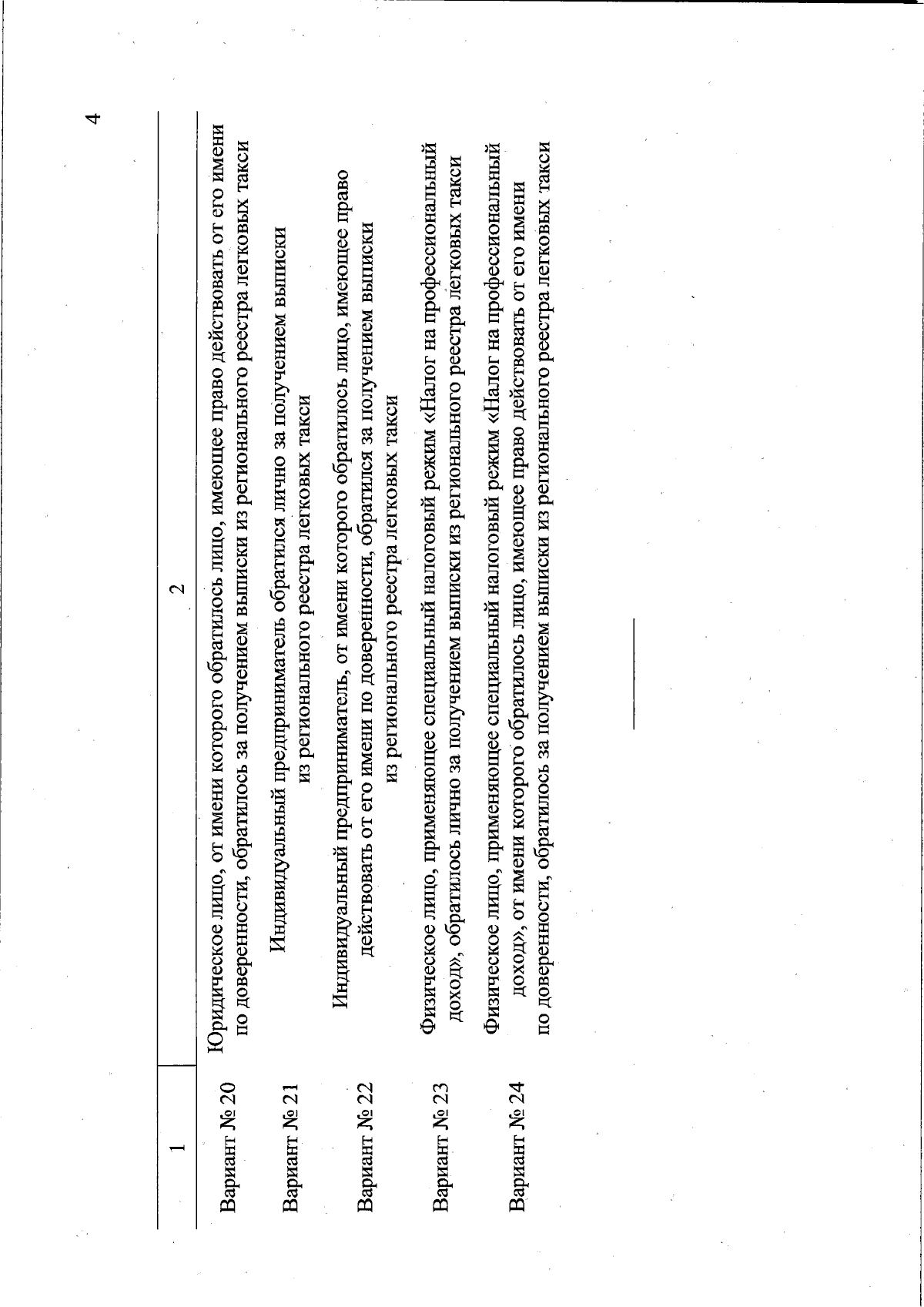
Приказ Министерства транспорта и дорожного хозяйства Республики Марий Эл от 06.03.2025 № 4-н
"Об утверждении Административного регламента предоставления государственной услуги "Внесение сведений в региональный реестр легковых такси, их изменение или исключение сведений из регионального реестра легковых такси, получение выписки из регионального реестра легковых такси"
(Зарегистрирован 20.03.2025 № 120620250002)
"Об утверждении Административного регламента предоставления государственной услуги "Внесение сведений в региональный реестр легковых такси, их изменение или исключение сведений из регионального реестра легковых такси, получение выписки из регионального реестра легковых такси"
(Зарегистрирован 20.03.2025 № 120620250002)
Номер опубликования: 1201202503210001
Дата опубликования:
21.03.2025
