Официальное опубликование правовых актов
ОФИЦИАЛЬНОЕ ОПУБЛИКОВАНИЕ
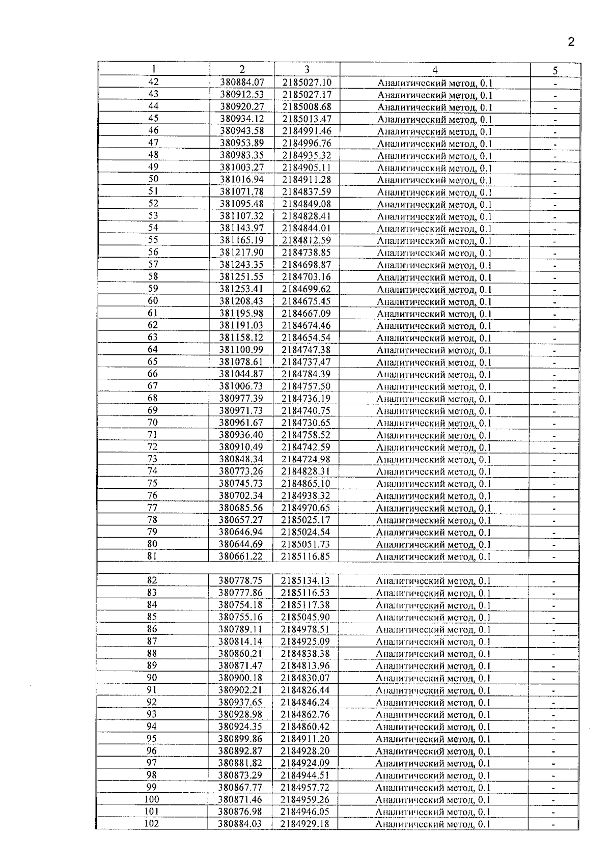
Приказ Министерства строительства, архитектуры и жилищно-коммунального хозяйства Республики Марий Эл от 15.01.2025 № 9
"Об утверждении границ охранных зон газораспределительных сетей и наложении ограничений (обременений) на входящие в них земельные участки"
(Зарегистрирован 04.02.2025 № 120920250007)
Номер опубликования: 1201202502060003
Дата опубликования: 06.02.2025
Страница №26 из 51:
Увеличить