Официальное опубликование правовых актов
ОФИЦИАЛЬНОЕ ОПУБЛИКОВАНИЕ
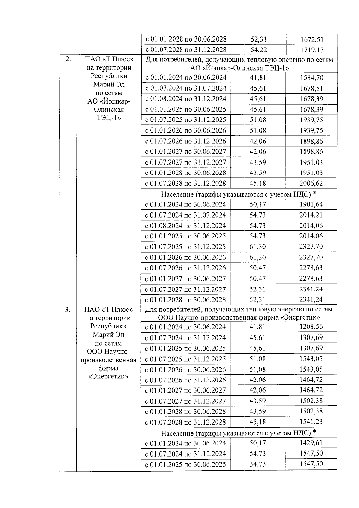
Приказ Министерства промышленности, экономического развития и торговли Республики Марий Эл от 27.12.2024 № 230 т
"О внесении изменений в некоторые приказы Министерства промышленности, экономического развития и торговли Республики Марий Эл"
(Зарегистрирован 27.12.2024 № 121220240215)
Номер опубликования: 1201202412280008
Дата опубликования: 28.12.2024
Страница №11 из 12:
Увеличить