Официальное опубликование правовых актов
ОФИЦИАЛЬНОЕ ОПУБЛИКОВАНИЕ
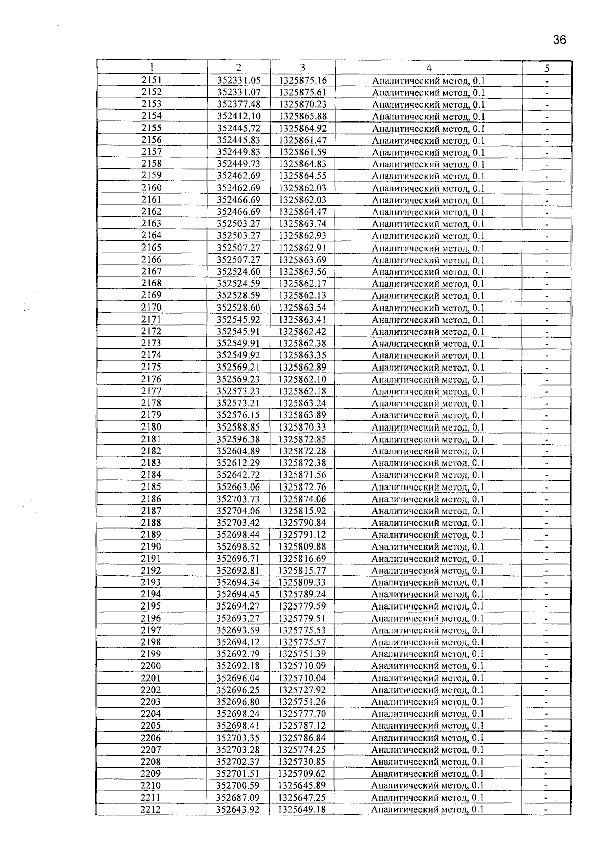
Приказ Министерства строительства, архитектуры и жилищно-коммунального хозяйства Республики Марий Эл от 20.11.2024
"Об утверждении границ охранной зоны газораспределительной сети и наложении ограничений (обременений) на входящие в нее земельные участки"
(Зарегистрирован 03.12.2024 № 120920240089)
Номер опубликования: 1201202412050001
Дата опубликования: 05.12.2024
Страница №38 из 39:
Увеличить