Официальное опубликование правовых актов
ОФИЦИАЛЬНОЕ ОПУБЛИКОВАНИЕ
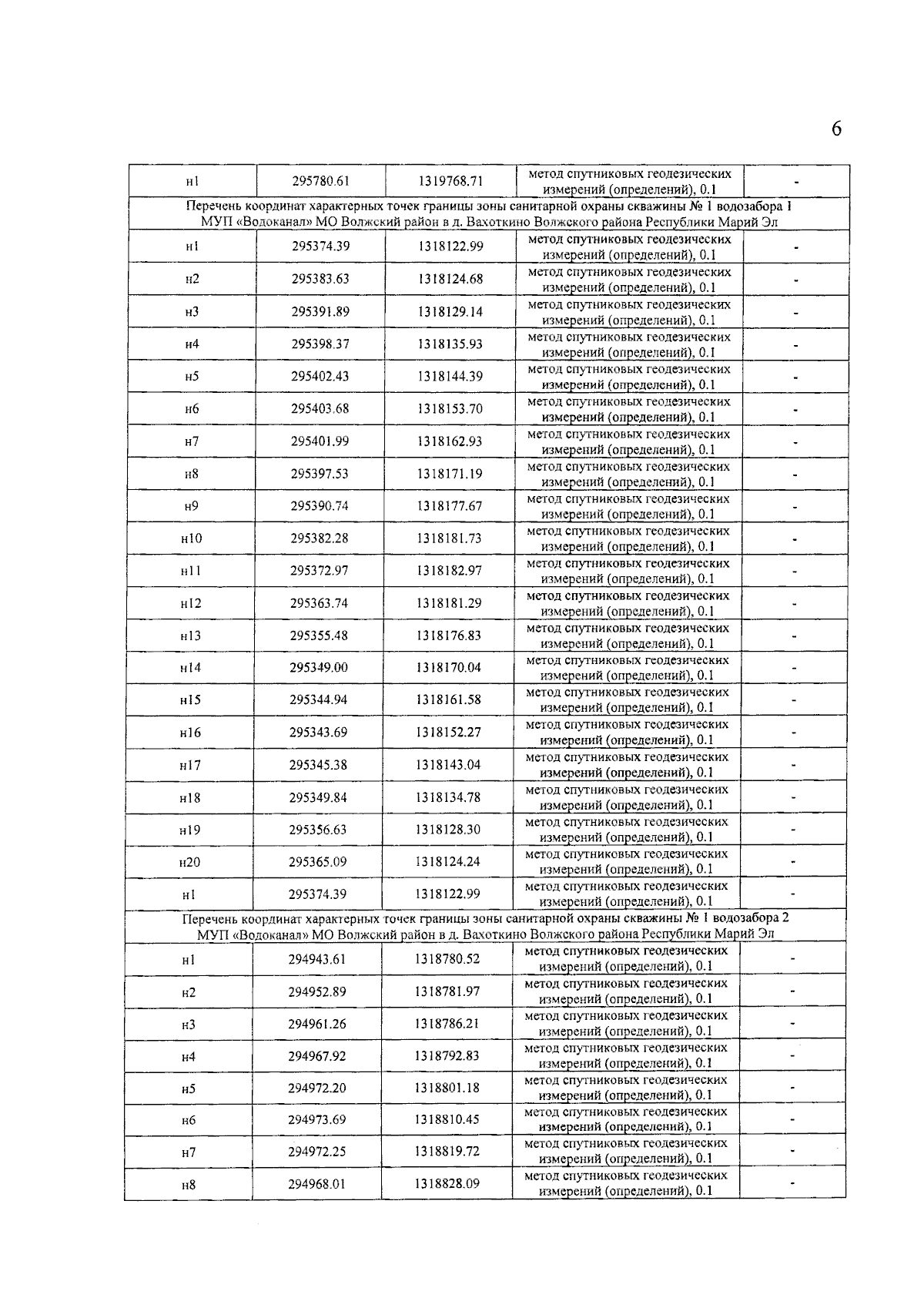
Приказ Министерства строительства, архитектуры и жилищно-коммунального хозяйства Республики Марий Эл от 21.10.2024 № 564
"О внесении изменений в приказ Министерства строительства, архитектуры и жилищно-коммунального хозяйства Республики Марий Эл от 31 июля 2018 г. № 297"
(Зарегистрирован 25.11.2024 № 120920240087)
Номер опубликования: 1201202411290008
Дата опубликования: 29.11.2024
Страница №9 из 12:
Увеличить