Официальное опубликование правовых актов
ОФИЦИАЛЬНОЕ ОПУБЛИКОВАНИЕ
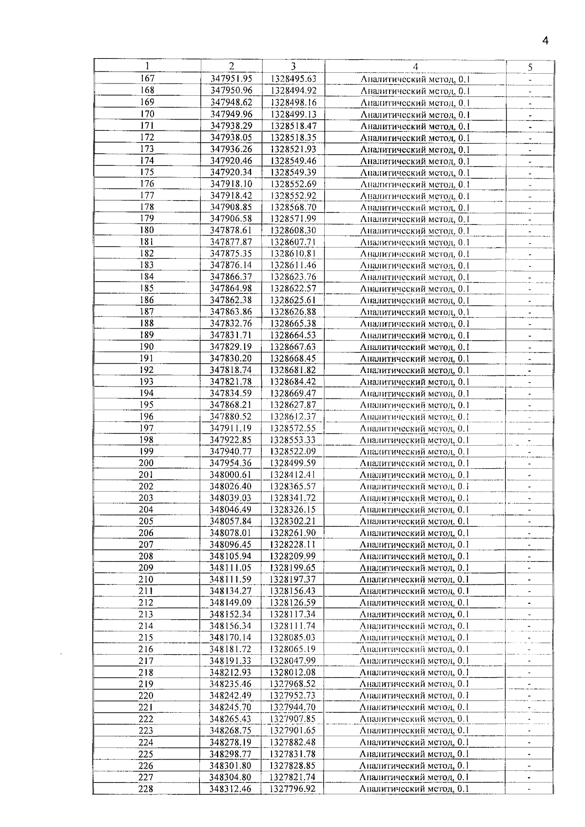
Приказ Министерства строительства, архитектуры и жилищно-коммунального хозяйства Республики Марий Эл от 03.10.2024 № 532
"Об утверждении границ охранных зон газораспределительных сетей и наложении ограничений (обременений) на входящие в них земельные участки"
(Зарегистрирован 14.10.2024 № 120920240085)
Номер опубликования: 1201202410160004
Дата опубликования: 16.10.2024
Страница №45 из 65:
Увеличить