Официальное опубликование правовых актов
ОФИЦИАЛЬНОЕ ОПУБЛИКОВАНИЕ
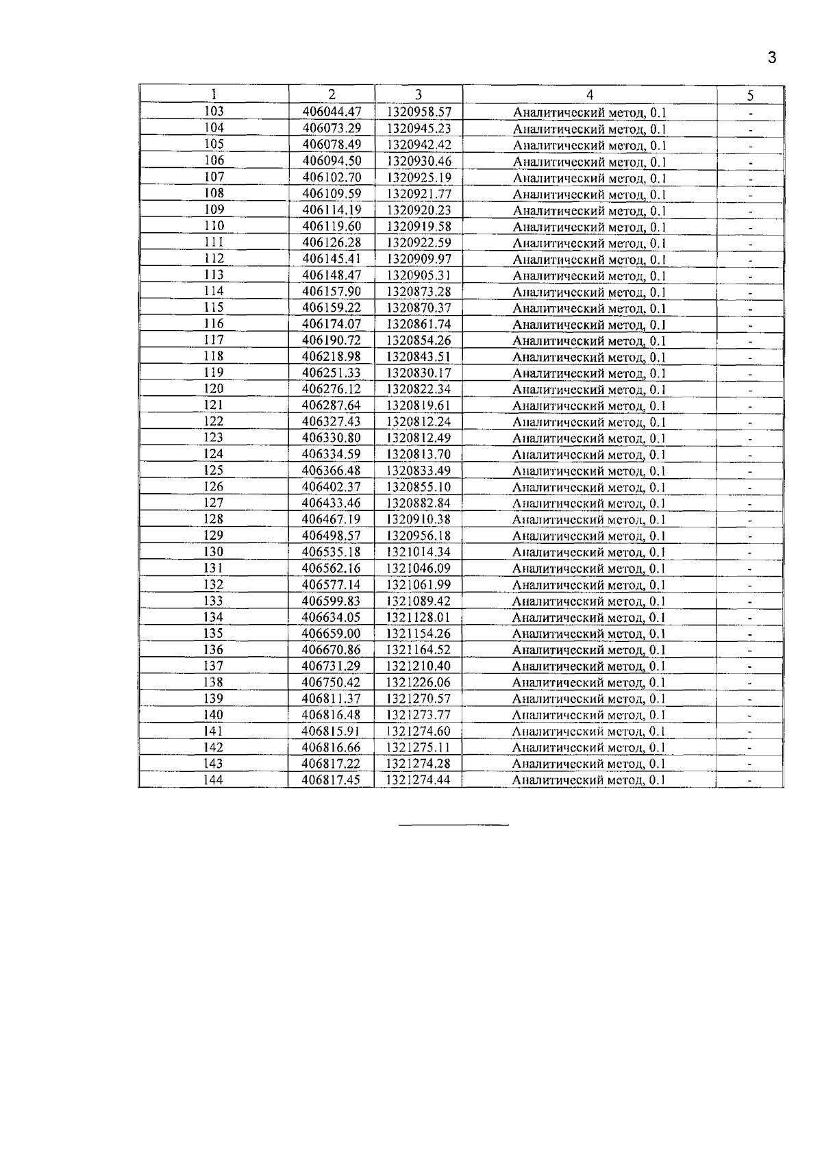
Приказ Министерства строительства, архитектуры и жилищно-коммунального хозяйства Республики Марий Эл от 17.09.2024 № 493
"Об утверждении границ охранных зон газораспределительных сетей и наложении ограничений (обременений) на входящие в них земельные участки"
(Зарегистрирован 23.09.2024 № 120920240079)
Номер опубликования: 1201202409240006
Дата опубликования: 24.09.2024
Страница №13 из 36:
Увеличить