Официальное опубликование правовых актов
ОФИЦИАЛЬНОЕ ОПУБЛИКОВАНИЕ
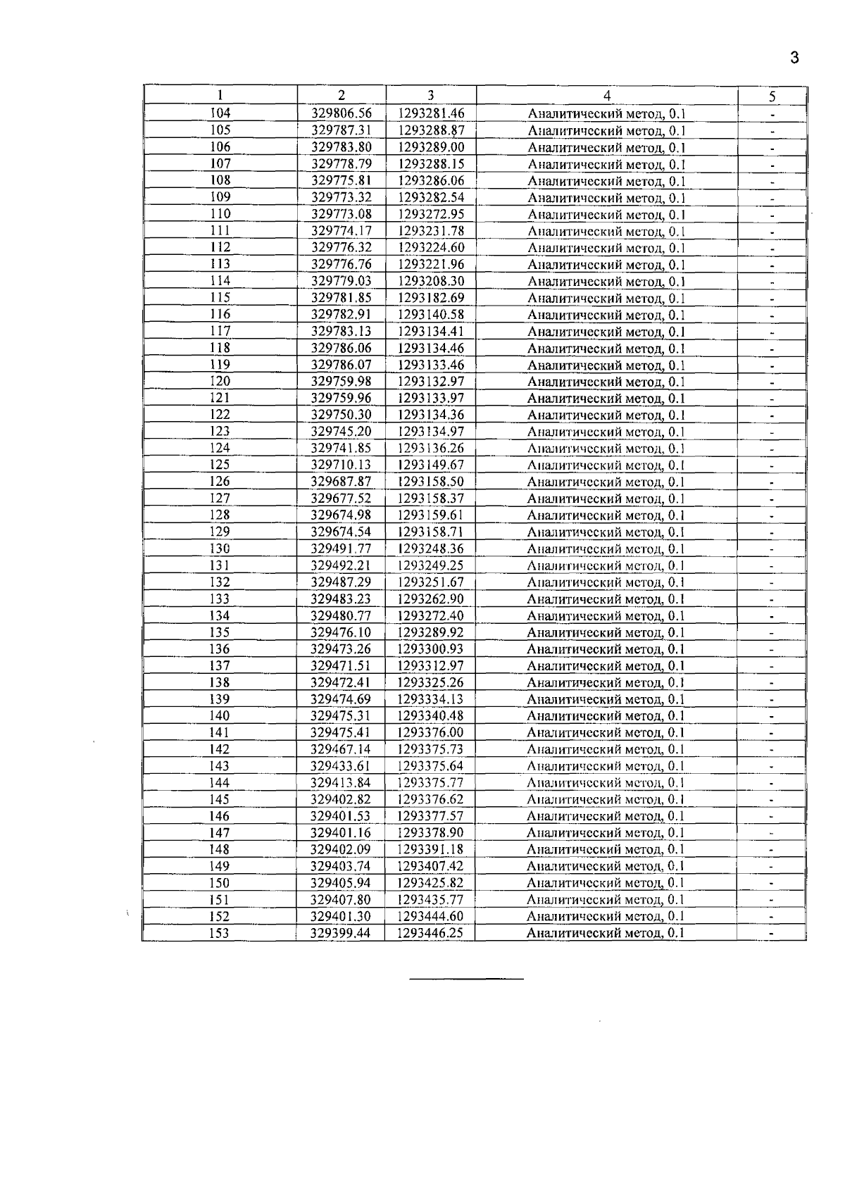
Приказ Министерства строительства, архитектуры и жилищно-коммунального хозяйства Республики Марий Эл от 19.08.2024 № 449
"Об утверждении границ охранных зон газораспределительных сетей и наложении ограничений (обременений) на входящие в них земельные участки"
(Зарегистрирован 27.08.2024 № 120920240072)
Номер опубликования: 1201202408290002
Дата опубликования: 29.08.2024
Страница №54 из 58:
Увеличить