Официальное опубликование правовых актов
ОФИЦИАЛЬНОЕ ОПУБЛИКОВАНИЕ
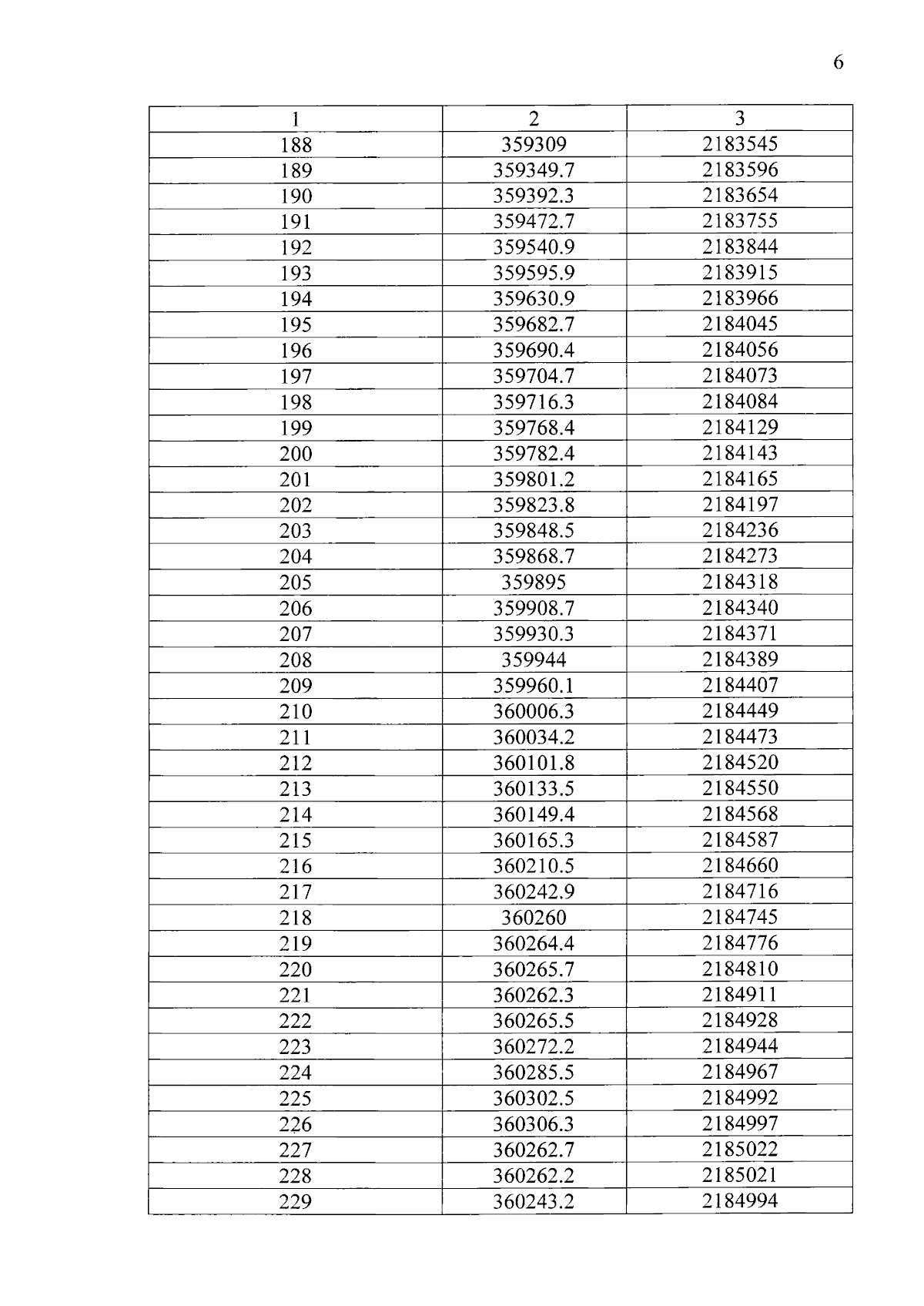
Приказ Министерства транспорта и дорожного хозяйства Республики Марий Эл от 02.08.2023 № 8-н
"О внесении изменений в приказ Министерства транспорта и дорожного хозяйства Республики Марий Эл от 30 ноября 2020 г. № 106-н"
(Зарегистрирован 15.08.2023 № 120620230006)
Номер опубликования: 1201202308160001
Дата опубликования: 16.08.2023
Страница №8 из 11:
Увеличить