Официальное опубликование правовых актов
ОФИЦИАЛЬНОЕ ОПУБЛИКОВАНИЕ
Приказ Министерства строительства, архитектуры и жилищно-коммунального хозяйства Республики Марий Эл от 20.02.2023 № 88
"О внесении изменений в приказ Министерства строительства, архитектуры и жилищно-коммунального хозяйства Республики Марий Эл от 15 декабря 2022 г. № 597"
(Зарегистрирован 02.03.2023 № 120920230011)
Номер опубликования: 1201202303070005
Дата опубликования: 07.03.2023
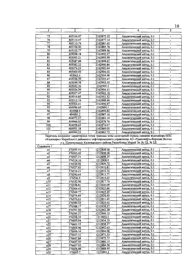
Страница №18 из 21:
Увеличить