Официальное опубликование правовых актов
ОФИЦИАЛЬНОЕ ОПУБЛИКОВАНИЕ
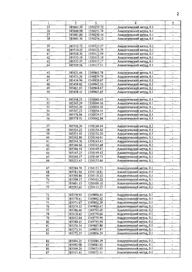
Приказ Министерства строительства, архитектуры и жилищно-коммунального хозяйства Республики Марий Эл от 02.02.2023 № 47
"Об утверждении границ охранных зон газораспределительных сетей и наложении ограничений (обременений) на входящие в них земельные участки"
(Зарегистрирован 08.02.2023 № 120920230003)
Номер опубликования: 1201202302100006
Дата опубликования: 10.02.2023
Страница №47 из 53:
Увеличить