Официальное опубликование правовых актов
ОФИЦИАЛЬНОЕ ОПУБЛИКОВАНИЕ
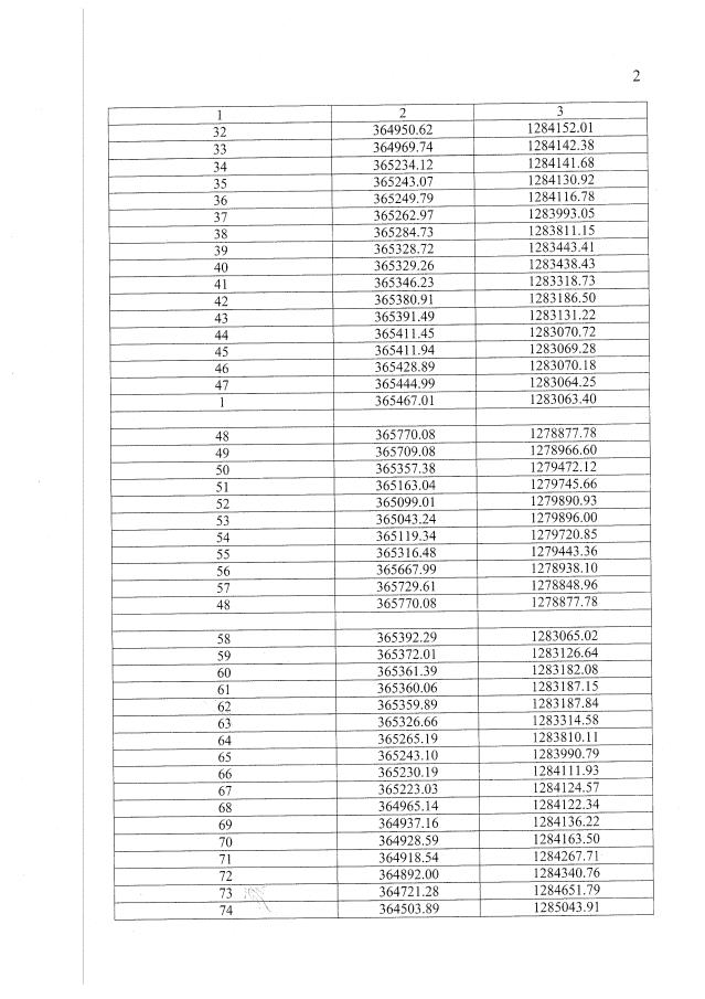
Приказ Министерства транспорта и дорожного хозяйства Республики Марий Эл от 14.11.2022 № 22-н
"Об установлении придорожных полос автомобильной дороги общего пользования регионального или межмуниципального значения в Республике Марий Эл Знаменский - Паганур - Кугенерка на территории Медведевского района Республики Марий Эл"
(Зарегистрирован 24.11.2022 № 120620220020)
Номер опубликования: 1201202211280019
Дата опубликования: 28.11.2022
Страница №5 из 9:
Увеличить