Официальное опубликование правовых актов
ОФИЦИАЛЬНОЕ ОПУБЛИКОВАНИЕ
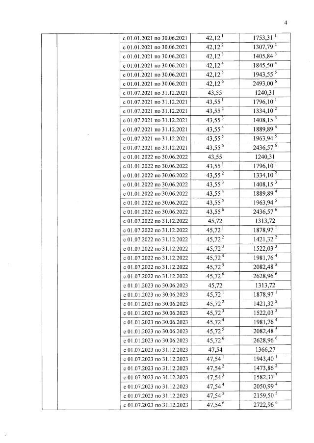
Приказ Министерства промышленности, экономического развития и торговли Республики Марий Эл от 17.12.2020 № 123 т
"О внесении изменений в некоторые приказы Министерства промышленности, экономического развития и торговли Республики Марий Эл"
(Зарегистрирован 23.12.2020 № 121220200120)
Номер опубликования: 1201202012280039
Дата опубликования: 28.12.2020
Страница №14 из 15:
Увеличить